Análise Matemática I - Física, Engª Física, Engª Química, Engª Minas
![]()
![]()
3 de Fevereiro de 1997
Duração: 3 horas
Sem consulta de apontamentos ou textos
Tabela autorizada
Calculadora científica ou gráfica autorizada
1- Seja
f: R ---> R
x |---> ![]()
a) Determine os extremos locais de f, caso existam.
b) A partir do gráfico da função seno hiperbólico esboce o gráfico da função f.
2- a) Calcule
![]()
b) Usando o método da variação das constantes arbitrárias de Lagrange integre a equação diferencial:
![]()
e escreva a expressão da solução particular que verifica a condição
![]()
3- Considere uma função f de domínio R

a) Esboce o gráfico de f.
b) Esboce o gráfico da segunda derivada de f.
4- Sendo
g: R+ ---> R
x |---> ![]()
determine:
a) Uma primitiva de g.
b) ![]()
c) A área da região limitada por
y = 0, x = 0, x = 1 e y = g(x)
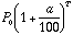
5- Se P0 contos são investidos a um juro anual de a% então, ao fim de T anos, este investimento, designado como F = Fa(T), valoriza-se segundo a fórmula
F = Fa(T) = ![]()
a) Determine
e
(supondo que a, T e P0 são independentes).
b) Interprete o comportamento das derivadas obtidas em função do contexto do enunciado.
6- A tabela seguinte apresenta alguns valores para uma função chamada função Gudermaniana:
|
x |
0 |
0,2 |
0,4 |
0,6 |
0,8 |
1 |
|
G(x) |
0 |
0,098 |
0,390 |
0,567 |
0,726 |
0,866 |
a) Indique uma aproximação para
![]()
b) Indique como se poderia melhorar essa aproximação.
7- a) Defina função integrável à Riemann; indique a interpretação geométrica desta definição para o caso de uma função contínua e positiva.
b) Sejam f e g duas funções com derivada contínua definida no intervalo [a,b] . Prove, usando o Teorema Fundamental do Cálculo Integral, que
![]()
8- Indique como é que a simetria, em relação ao eixo dos XX, de uma figura definida por meio de uma função, pode ser analisada quando se trabalha em coordenadas cartesianas, em coordenadas polares e em coordenadas paramétricas.