Análise Matemática I - Física, Engª Física, Engª Química, Engª Geológica, Engª Geográfica, Engª Minas
![]()
![]()
23 de Setembro de 1998
Duração: 3 horas
Sem consulta de apontamentos ou textos
Tabela autorizada
Calculadora científica ou gráfica autorizada
1
- Uma pintura célebre é pendurada na parede de um museu a uma altura de 2,1 metros do solo para que possa ser vista pelo maior número possível de visitantes.
Suponha que se vê melhor o quadro quando o ângulo q mostrado na figura é máximo, e que a cabeça de um visitante está 1,5 m acima do solo. Determine a distância x a que um visitante deve estar do quadro para que o visitante possa ver o quadro nas melhores condições.
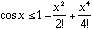
2- Partindo da desigualdade
![]()
conclua a desigualdade
![]()
3- Usando a fórmula de Taylor-Young calcule
![]()
4- a) Seja
e
. Mostre que
não existe nem é infinito mas que a série
é convergente. Isto contradiz o Critério de DAlembert? Porquê?
b) Construa uma série de termos não negativos
tal que
não existe nem é infinito mas em que a série
é divergente. Isto contradiz o Critério de DAlembert? Porquê?
5- Usando integrais adequados determine um valor para
.