2(a) frequência Análise Matemática I Física, Eng(a) Física, Eng(a) Materiais
Análise Matemática I - Física,
Eng(a) Física, Eng(a) Materiais
18 de Junho de 1996
Duração: 3 horas
Sem consulta de apontamentos ou textos
Tabela autorizada
Calculadora científica ou gráfica autorizada
1- Indique qual (ou quais) das seguintes sucessões de funções (de domínio R) parece convergir uniformemente (os índices da sucessão crescem de cima para baixo de cada figura). Justifique a sua resposta.
A
B
C
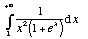
2- Estude a natureza dos integrais:
a) 
b) 

a) Desenvolva-a em série de potências de
x -2
b) Determine o intervalo de convergência da série
obtida.
c) Use a alínea a) para determinar



4- Determine a natureza das séries numéricas:
a) 
b)

c)

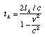
5- Na experiência de Michelson-Morley o tempo que a luz leva a percorrer o caminho paralelo ao "vento do éter" é dado por


6- Se f é uma função com derivadas contínuas até à ordem n+1 num intervalo aberto contendo o ponto x0, então



This page was created using TextToHTML. TextToHTML is a free software for Macintosh and is (c) 1995,1996 by Kris Coppieters, e-mail: 100025.2724@compuserve.com