Análise Matemática I - Física, Engª Física, Engª Química, Engª Geológica, Engª Geográfica, Engª Minas

13 de Julho de 1998

 

Duração: 3 horas

Sem consulta de apontamentos ou textos

Tabela autorizada

Calculadora científica ou gráfica autorizada

 

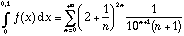
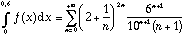
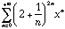
1- O termo geral da sucessão associada de uma série de funções é dado por .

a) A série converge? Porquê?

b) Determine .

c) Determine .

2- a) Determine o raio de convergência da série de potências

b) Qual o maior conjunto onde converge a série de potências da alínea anterior?

c) Seja

Diga, justificando, se são verdadeiras ou falsas as seguintes igualdades:

i) ii)

3- Considere a região do plano limitada pelas curvas definidas pelas seguintes expressões analíticas

y = x2 e y =

a) Esboce a região plana acima indicada.

b) Calcule a área dessa região plana

c) Calcule o volume do sólido de revolução gerado pela rotação dessa região plana em torno do eixo dos XX.

4- a) Calcule as primitivas de:

b) Determine a natureza do integral impróprio:

c) Determine a natureza da série numérica:

5- Considere a função real de variável real definida por:

g(x) =

a) Desenvolva-a em série de potências de x -2

b) Determine o intervalo de convergência da série obtida.

c) Use a alínea a) para determinar

g(10)(2)

sem calcular directamente a derivada de ordem 10 de g.

6- Um avião voa para oeste a uma velocidade de 500 m/s e a uma altitude de 4000 m. O avião está a ser observado por um radar instalado no solo, colocado num plano vertical contendo a trajectória do avião. Se se pretende que o radar aponte sempre rigorosamente para o avião, com que velocidade deve rodar o radar quando o avião estiver a 2000m a leste do radar?

7- a) Seja f uma função contínua no intervalo [a,b]. Prove que existe um ponto c do intervalo [a,b] tal que

Faça uma interpretação geométrica deste resultado.

b) Sejam

as coordenadas paramétricas de uma certa curva. Seja uma função bijectiva do intervalo no intervalo . Suponha que, para todo o do intervalo se tem

Explique que consequências tem este facto sobre o comportamento da curva.